• Предмет: Математика
  • Автор: kaptur777
  • Вопрос задан 10 лет назад

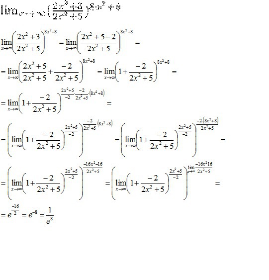
Найти пределы:
 lim_{x to infty}(  frac{2 x^{2} +3}{2 x^{2} +5} )^8 ^ {x^{2} }^+^8

Ответы

Ответ дал: kirichekov
0
решение во вложении------------------------
Приложения:
Вас заинтересует