• Предмет: Математика
  • Автор: kulikoff32452
  • Вопрос задан 10 лет назад

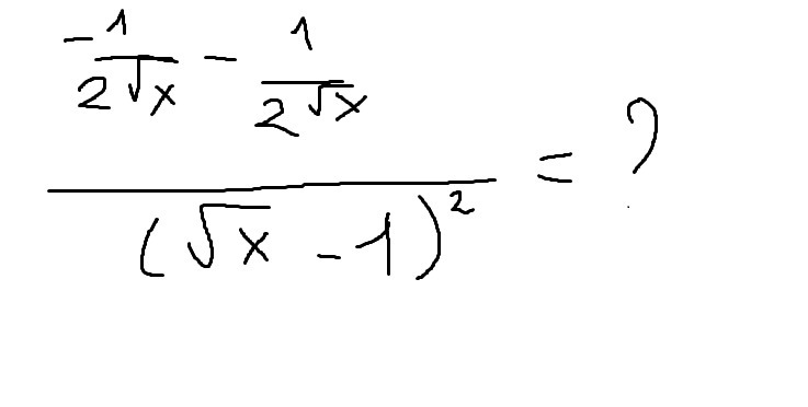
Математика 10-11
производная частного
дорешать пример

Приложения:

Ответы

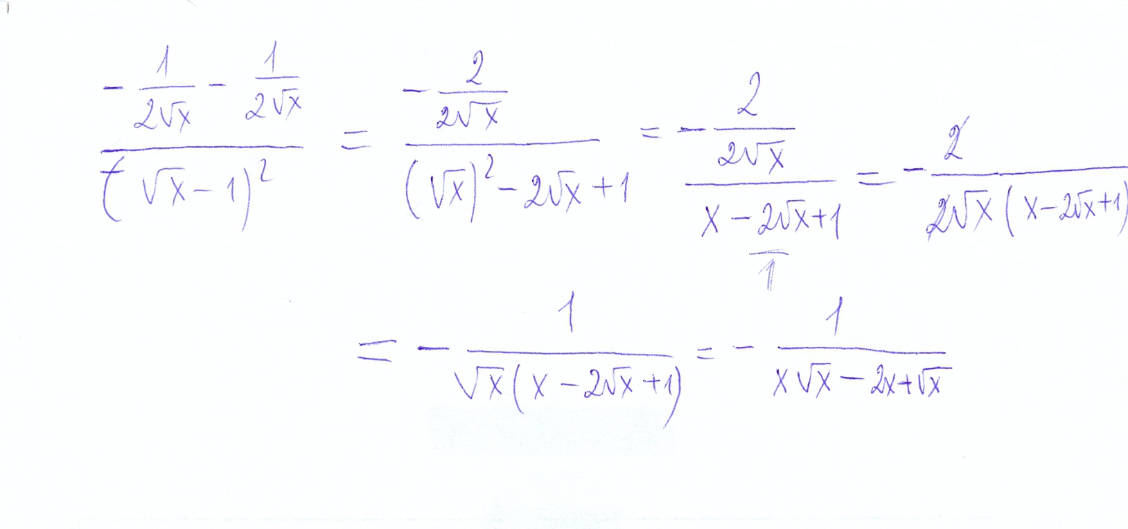
Ответ дал: nadegda39
0
Ну вот как то так! Иногда в знаменателе можно не раскрывать формулу, оставлять в том же виде, но я раскрыла.
Приложения:
Вас заинтересует