Ответы
Ответ дал:
0
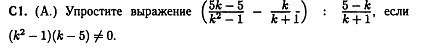
((5k-5) / (k²-1) - k / (k+1)) : (5-k) / (k+1) = ((5k-5) / (k-1)(k+1) - k / (k+1)) :
(5-k) / (k+1) = ((5k-5) / (k-1)(k+1) - (k²-k) / (k-1)(k+1)) : (5-k) / (k+1) =
(5k-5-k²+k) / (k-1)(k+1) : (5-k) / (k+1) = (6k-k²-5) / (k-1)(k+1) : (5-k) / (k+1) =
(6k-k²-5)(k+1) / (k-1)(k+1)(5-k) = (6k-k²-5) / (k-1)(5-k) = (6k-k²-5) /
(5k-k²-5+k) = (6k-k²-5) / (6k-k²-5) = 1.
(5-k) / (k+1) = ((5k-5) / (k-1)(k+1) - (k²-k) / (k-1)(k+1)) : (5-k) / (k+1) =
(5k-5-k²+k) / (k-1)(k+1) : (5-k) / (k+1) = (6k-k²-5) / (k-1)(k+1) : (5-k) / (k+1) =
(6k-k²-5)(k+1) / (k-1)(k+1)(5-k) = (6k-k²-5) / (k-1)(5-k) = (6k-k²-5) /
(5k-k²-5+k) = (6k-k²-5) / (6k-k²-5) = 1.
Вас заинтересует
2 года назад
2 года назад
7 лет назад
7 лет назад
10 лет назад
10 лет назад