Ответы
Ответ дал:
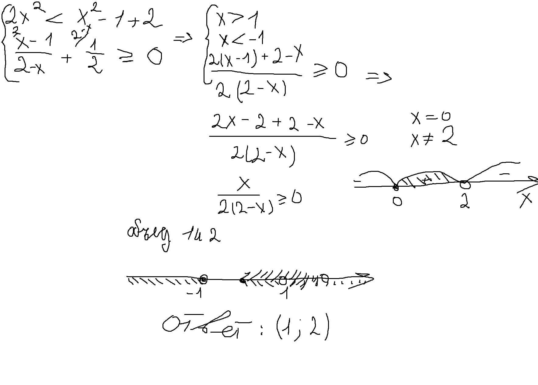
0
еююююююююююююююююююююююююююююююююююююююююююююююю
Приложения:

Вас заинтересует
2 года назад
2 года назад
9 лет назад
10 лет назад
10 лет назад