• Предмет: Алгебра
  • Автор: Аноним
  • Вопрос задан 10 лет назад

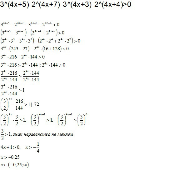
3^(4х+3)-2^(4х+7)-3^(4х+3)-2^(4х+4)>0

Ответы

Ответ дал: kirichekov
0
решение во вложении---------------------
Приложения:
Вас заинтересует