• Предмет: Алгебра
  • Автор: sretrttt
  • Вопрос задан 10 лет назад

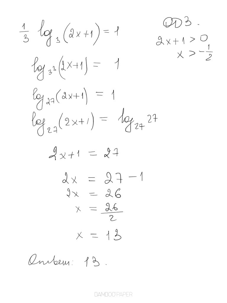
решить уровнение дробь 1/3 loq3(2х+1)=1

Ответы

Ответ дал: KseniaHarlequin
0
Решение данного уравнения
Приложения:
Ответ дал: sretrttt
0
спасибо огромное
Ответ дал: KseniaHarlequin
0
Пожалуйста!
Вас заинтересует