• Предмет: Алгебра
  • Автор: adig2000
  • Вопрос задан 10 лет назад

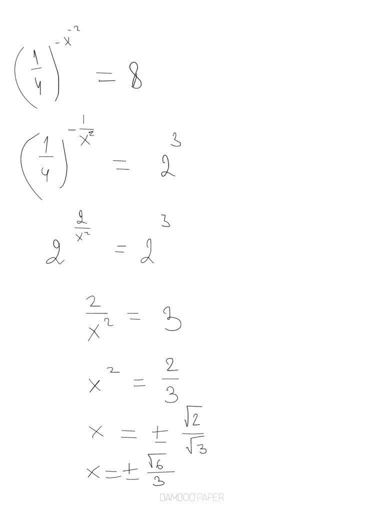
(1/4)^-x^-2=8 решите пожалуйста срочно надо

Ответы

Ответ дал: KseniaHarlequin
0
Решение данного уравнения
Приложения:
Ответ дал: kirichekov
0
( frac{1}{4} ) ^{- x^{-2} } =8


(2 ^{-2} ) ^{- x^{-2} } =2 ^{3} 

 2^{2 x^{-2} } = 2^{3}


 frac{2}{ x^{2} } =3

 x^{2} = frac{2}{3} 

x=+- sqrt{ frac{2}{3} }
Приложения:
Вас заинтересует