• Предмет: Алгебра
  • Автор: MeGRESS
  • Вопрос задан 10 лет назад

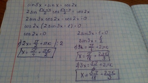
sin5x + sinx = cos2x

Ответы

Ответ дал: Anna10050
0
Здесь используется формула сложения синусов.
Приложения:
Ответ дал: MeGRESS
0
Благодарю. Можете добавить ответ сюда: http://znanija.com/task/19125768. Если нужны дополнительные баллы)
Вас заинтересует