Ответы
Ответ дал:
0
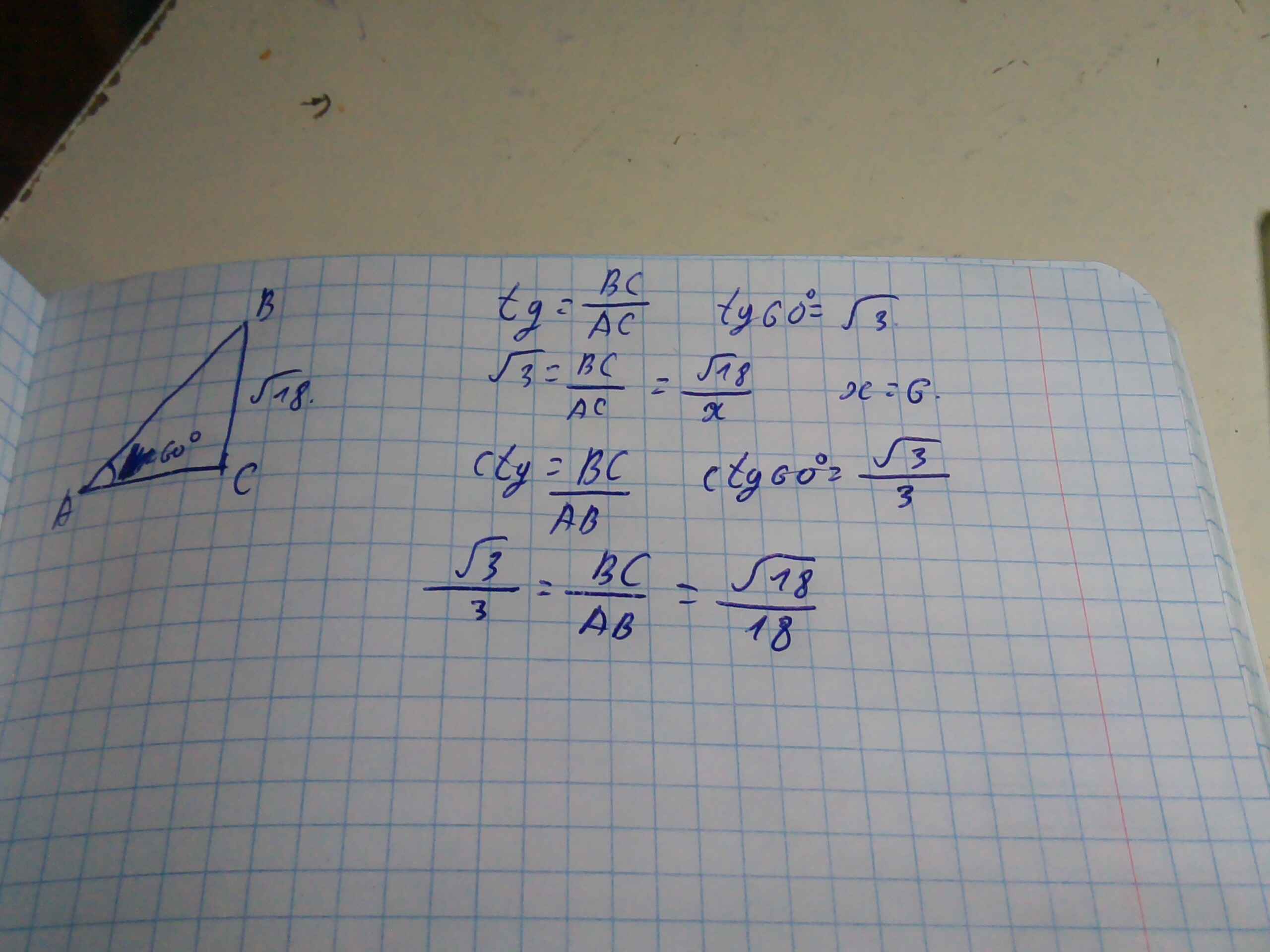
tg = BC/AC тангенс 60 градусов равен корень из 3 значить корень из 18/ac=корень из 3 AC= 6
ctg= BC/AB ctg60=корень из 3 делить на 3 то есть AB=BC/ctg60=корень из 18 делить на (корень из 3 делить на 3 )
ctg= BC/AB ctg60=корень из 3 делить на 3 то есть AB=BC/ctg60=корень из 18 делить на (корень из 3 делить на 3 )
Приложения:

Ответ дал:
0
Слушай, можешь все это написать?
Ответ дал:
0
добавил
Ответ дал:
0
Спасибо большое
Ответ дал:
0
ответ ab=18 ac=6
Вас заинтересует
7 лет назад
7 лет назад
9 лет назад
10 лет назад
10 лет назад