Ответы
Ответ дал:
0
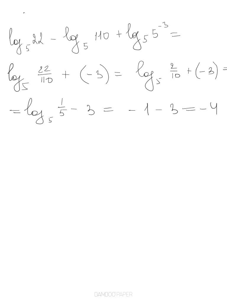
log5 5^(-3)=log5 1/125= -3;
log5 22 - log5 110=
=log5 22/110=log5 1/5=
-1;
-1+(-3)=-1-3=-4
ОТВЕТ:-4
log5 22 - log5 110=
=log5 22/110=log5 1/5=
-1;
-1+(-3)=-1-3=-4
ОТВЕТ:-4
Ответ дал:
0
Решение данного задания
Приложения:

Вас заинтересует
2 года назад
7 лет назад
10 лет назад