Ответы
Ответ дал:
0
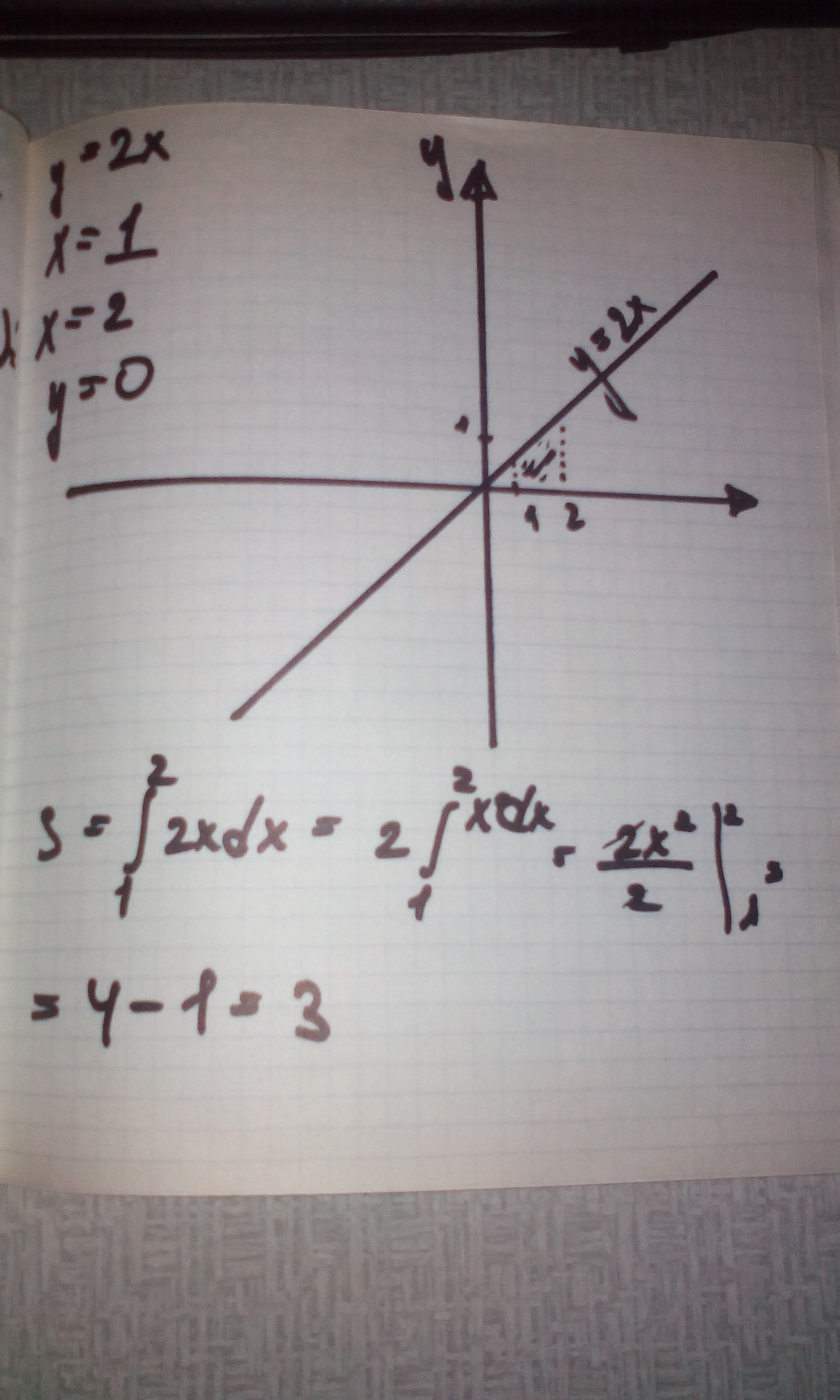
получится интеграл, верхний предел 2, нижний 1. под интегралом 2xdx. Раскрывает интеграл получается 4-1=3
Приложения:

Вас заинтересует
2 года назад
7 лет назад
7 лет назад
9 лет назад
9 лет назад
10 лет назад