какие из чисел : 1,3,-1,-5,3 в корне,- 5 в корне 1,-2 являются корнями квадратного трехчлена х2-2х-1
Ответы
Ответ дал:
0
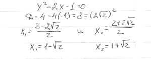
странно, но ни один из предложенных вариантов у меня не вышел решением квадратного трехчлена:
х^2 - 2х - 1 = 0
Приложения:

Ответ дал:
0
D=b2-4ac=4+4*1=16= 4 в квадрате
x1=-b+D =2+4 =3
2a 2
x2=-b-D=2-4= -1
2a 2
Ответ 3,-1 только если так ну походу где то ошибка
Приложения:

Вас заинтересует
2 года назад
2 года назад
8 лет назад
10 лет назад
10 лет назад
10 лет назад
10 лет назад