Решите пожалуйста первый пример. Желательно с подробным пояснением. Заранее благодарю)
Приложения:
Ответы
Ответ дал:
0
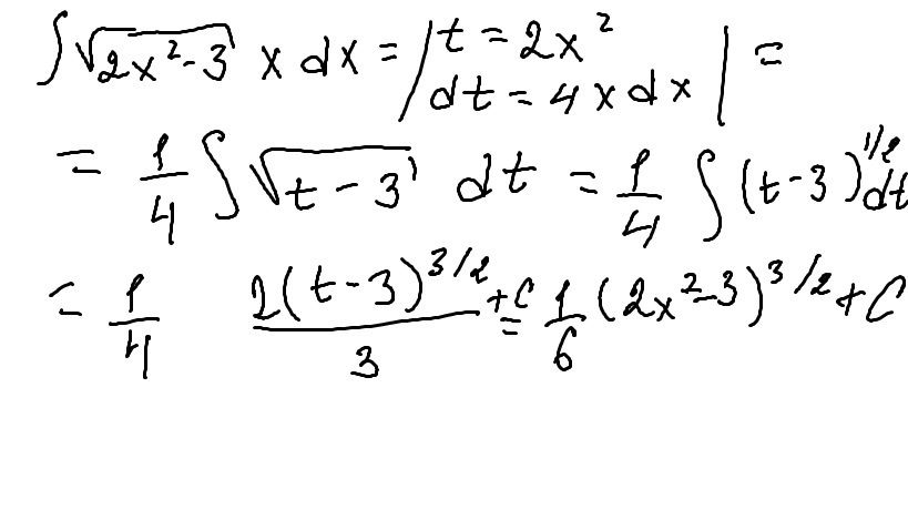
во вложении..........
Приложения:
Ответ дал:
0
Присмотревшись к множителю хdx, можно догадаться, что он - часть дифференциала d(2x²-3). А это позволит провести интегрирование с помощью замены переменной:
![int sqrt{2x^2 -3}*xdx= frac{1}{4} int sqrt{2x^2 -3} d(2x^2 -3) = left[begin{array}{c} 2x^2 -3=tend{array}right] =\ = frac{1}{4} int t^{1/2}dt= frac{1}{4} frac{t^{3/2}}{3/2} +C= frac{1}{6}t sqrt{t} +C= frac{1}{6}(2x^2 -3) sqrt{2x^2 -3} +C int sqrt{2x^2 -3}*xdx= frac{1}{4} int sqrt{2x^2 -3} d(2x^2 -3) = left[begin{array}{c} 2x^2 -3=tend{array}right] =\ = frac{1}{4} int t^{1/2}dt= frac{1}{4} frac{t^{3/2}}{3/2} +C= frac{1}{6}t sqrt{t} +C= frac{1}{6}(2x^2 -3) sqrt{2x^2 -3} +C](https://tex.z-dn.net/?f=int++sqrt%7B2x%5E2+-3%7D%2Axdx%3D+frac%7B1%7D%7B4%7D+int++sqrt%7B2x%5E2+-3%7D+d%282x%5E2+-3%29+%3D+++left%5Bbegin%7Barray%7D%7Bc%7D+2x%5E2+-3%3Dtend%7Barray%7Dright%5D+%3D%5C+%3D++frac%7B1%7D%7B4%7D+int+t%5E%7B1%2F2%7Ddt%3D++frac%7B1%7D%7B4%7D++frac%7Bt%5E%7B3%2F2%7D%7D%7B3%2F2%7D+%2BC%3D+frac%7B1%7D%7B6%7Dt+sqrt%7Bt%7D++%2BC%3D+frac%7B1%7D%7B6%7D%282x%5E2+-3%29+sqrt%7B2x%5E2+-3%7D++%2BC)
Приложения:
Вас заинтересует
2 года назад
2 года назад
7 лет назад
10 лет назад
10 лет назад
10 лет назад