Ответы
Ответ дал:
0
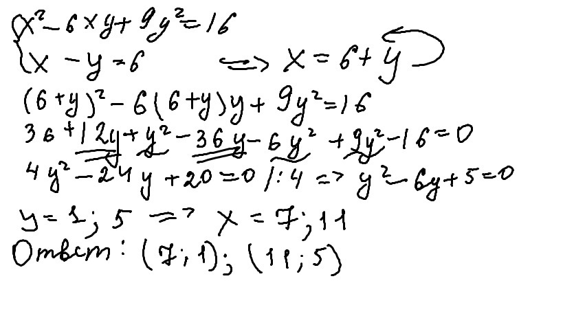
Во вложении....................
Приложения:

Вас заинтересует
9 лет назад
9 лет назад
10 лет назад