1) Упростить и вычислить sin 22°30' * cos 22°30'
2) Вычислить sin(4arctg1-2arcsin(√3)/2)
3) Решить тригонометрическое уравнение cos x = -0,3328
4) Решить тригонометрическое уравнение sin^2 x/2 = 3/4
5) Решить тригонометрическое уравнение (√3)tg(3x+30°)-3 = 0
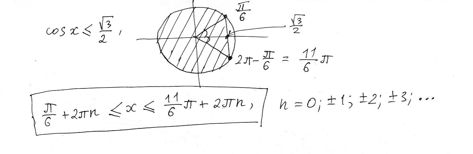
6) Решить тригонометрическое неравенство cos x ≤ (√3)/2
Ответы
Ответ дал:
0
1) sin(22 30')*cos(22 30') = (1/2)*sin(2*(22 30')) = (1/2)*sin(45 ) = (1/2)*(V2)/2 = (V2)/4.
2) исходное выражение = sin( 4*(п/4) - 2*(п/3) ) = sin(п - (2/3)*п) =
= sin(п/3) = (V3)/2.
3) x = arccos(-0,3328) + 2*п*n, или x=-arccos(-0,3328) + 2*п*n, n - принимает все целые значения.
x = (п - arccos(0,3328) ) + 2*п*n, или
x = -(п-arccos(0,3328) ) + 2*п*n = arccos(0,3328) - п + 2*п*n.
4) 1 - 2*sin^2(x/2) = cos(x),
sin^2(x/2) = (1-cos(x))/2.
(1-cos(x))/2 = 3/4.
1- cos(x) = 3/2.
cos(x) = 1 - (3/2) = -1/2.
x = arccos(-1/2) + 2*п*n, или
x = -arccos(-1/2) + 2*п*n, n принимает все целые значения,
arccos(-1/2) = п - arccos(1/2) = п - (п/3) = (2/3)*п,
x = (2/3)*п + 2*п*n, или
x = -(2/3)*п + 2*п*n.
5) tg(3x+30) = (V3).
3x+30 = 60 + 180*n,
3x = 30 + 180*n,
x = 10 + 60*n.
(x выражено в градусах, n - пробегает все целые значения).
6) см. прикрепленный рисунок.
2) исходное выражение = sin( 4*(п/4) - 2*(п/3) ) = sin(п - (2/3)*п) =
= sin(п/3) = (V3)/2.
3) x = arccos(-0,3328) + 2*п*n, или x=-arccos(-0,3328) + 2*п*n, n - принимает все целые значения.
x = (п - arccos(0,3328) ) + 2*п*n, или
x = -(п-arccos(0,3328) ) + 2*п*n = arccos(0,3328) - п + 2*п*n.
4) 1 - 2*sin^2(x/2) = cos(x),
sin^2(x/2) = (1-cos(x))/2.
(1-cos(x))/2 = 3/4.
1- cos(x) = 3/2.
cos(x) = 1 - (3/2) = -1/2.
x = arccos(-1/2) + 2*п*n, или
x = -arccos(-1/2) + 2*п*n, n принимает все целые значения,
arccos(-1/2) = п - arccos(1/2) = п - (п/3) = (2/3)*п,
x = (2/3)*п + 2*п*n, или
x = -(2/3)*п + 2*п*n.
5) tg(3x+30) = (V3).
3x+30 = 60 + 180*n,
3x = 30 + 180*n,
x = 10 + 60*n.
(x выражено в градусах, n - пробегает все целые значения).
6) см. прикрепленный рисунок.
Приложения:

Ответ дал:
0
Огромное спасибо
Вас заинтересует
2 года назад
7 лет назад
9 лет назад
9 лет назад
10 лет назад
10 лет назад