Ответы
Ответ дал:
0
решение смотри во вложении
Приложения:

Ответ дал:
0
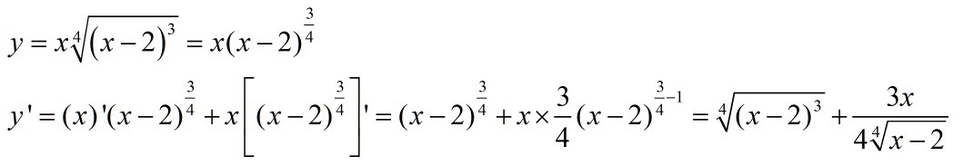
y`=(x*(x-2)³/⁴)`=x`*(x-2)³/⁴+(x*(x-2)³/⁴)`=(x-2)³/⁴+x*(3/4)*(x-2)⁻¹/⁴=
=((x-2)³/⁴+3*x)/(4*(x-2)¹/⁴)=(4*(x-2)¹/⁴*(x-2)³/⁴+3x)/(4*(x-2)¹/⁴)=
=(4*(x-2)+3*x)/(4*(x-2)¹/⁴)=(4*x-8+3*x)/(4*(x-2)¹/⁴)=(7*x-8)/(4*(x-2)¹/⁴).
=((x-2)³/⁴+3*x)/(4*(x-2)¹/⁴)=(4*(x-2)¹/⁴*(x-2)³/⁴+3x)/(4*(x-2)¹/⁴)=
=(4*(x-2)+3*x)/(4*(x-2)¹/⁴)=(4*x-8+3*x)/(4*(x-2)¹/⁴)=(7*x-8)/(4*(x-2)¹/⁴).
Приложения:

Вас заинтересует
2 года назад
2 года назад
9 лет назад
9 лет назад
10 лет назад