Ответы
Ответ дал:
0
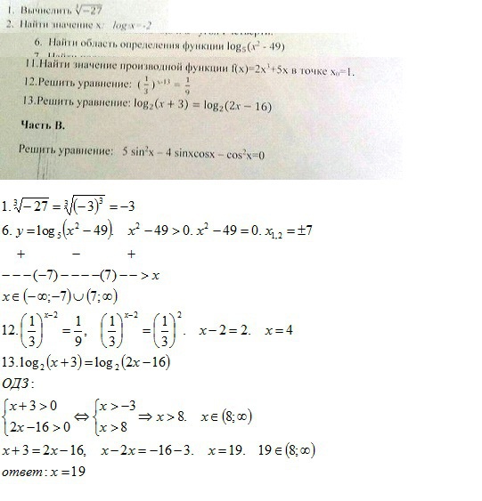
решение во вложении-----------------------------
Приложения:


Вас заинтересует
2 года назад
2 года назад
7 лет назад
7 лет назад
9 лет назад
9 лет назад
10 лет назад