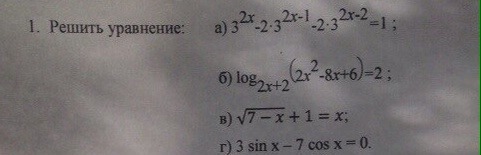
Ответы
Ответ дал:
0
во вложении....................
Приложения:


Ответ дал:
0
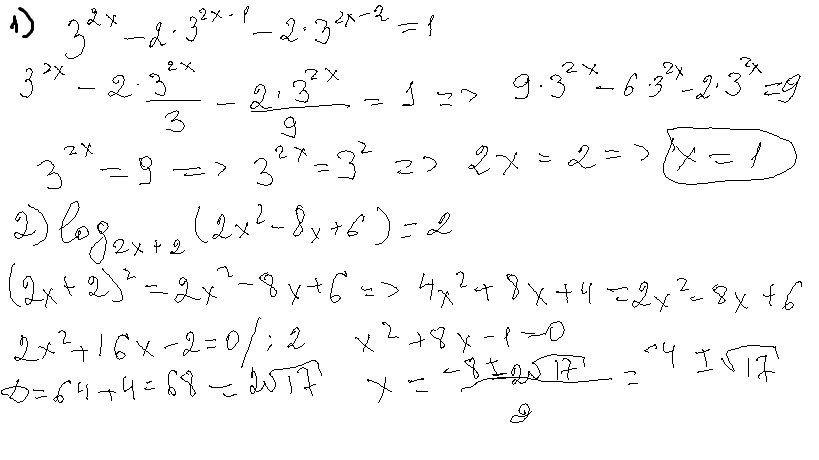
вынесем за скобку 3²ˣ⁻²
3²ˣ⁻²(3²ˣ⁻²ˣ⁺² - 2·3²ˣ⁻¹⁻²ˣ⁺²-2·3²ˣ⁻²⁻²ˣ⁺²) = 3⁰
3²ˣ⁻²(3² - 2·3¹ - 2·3⁰) = 3⁰
3²ˣ⁻²·( 9 - 6 - 2) =3⁰
3²ˣ⁻²·1=3⁰
2х-2=0
2х = 2
х=1
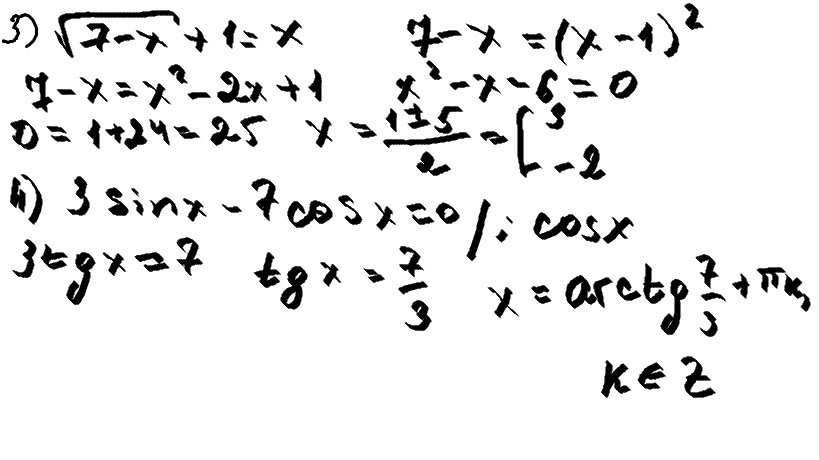
√(7 - х) = х -1 (возведем обе части в квадрат)
7 - х = х²-2х+1
х² -2х +х +1 -7=0
х² -х -6=0
D =b²-2ac= 1-4·(-6) = 1+24 =25> 0, 2 корня
х₁= (1+5)/2 = 3
х₂= (1 -5)/2 = - 2 (сделай проверку)
Ответ: 3
3²ˣ⁻²(3²ˣ⁻²ˣ⁺² - 2·3²ˣ⁻¹⁻²ˣ⁺²-2·3²ˣ⁻²⁻²ˣ⁺²) = 3⁰
3²ˣ⁻²(3² - 2·3¹ - 2·3⁰) = 3⁰
3²ˣ⁻²·( 9 - 6 - 2) =3⁰
3²ˣ⁻²·1=3⁰
2х-2=0
2х = 2
х=1
√(7 - х) = х -1 (возведем обе части в квадрат)
7 - х = х²-2х+1
х² -2х +х +1 -7=0
х² -х -6=0
D =b²-2ac= 1-4·(-6) = 1+24 =25> 0, 2 корня
х₁= (1+5)/2 = 3
х₂= (1 -5)/2 = - 2 (сделай проверку)
Ответ: 3
Приложения:


Вас заинтересует
2 года назад
2 года назад
7 лет назад
7 лет назад
9 лет назад
10 лет назад