• Предмет: Математика
  • Автор: MickeyCore
  • Вопрос задан 10 лет назад

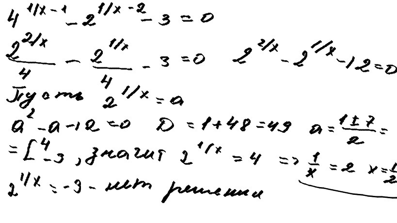
4 ^{(1/x) - 1}  - 2 ^{(1/x)-2}  - 3 = 0

Ответы

Ответ дал: grisenko97
0
во вложении..............
Приложения:
Вас заинтересует