• Предмет: Алгебра
  • Автор: Неуловимыйтип
  • Вопрос задан 10 лет назад

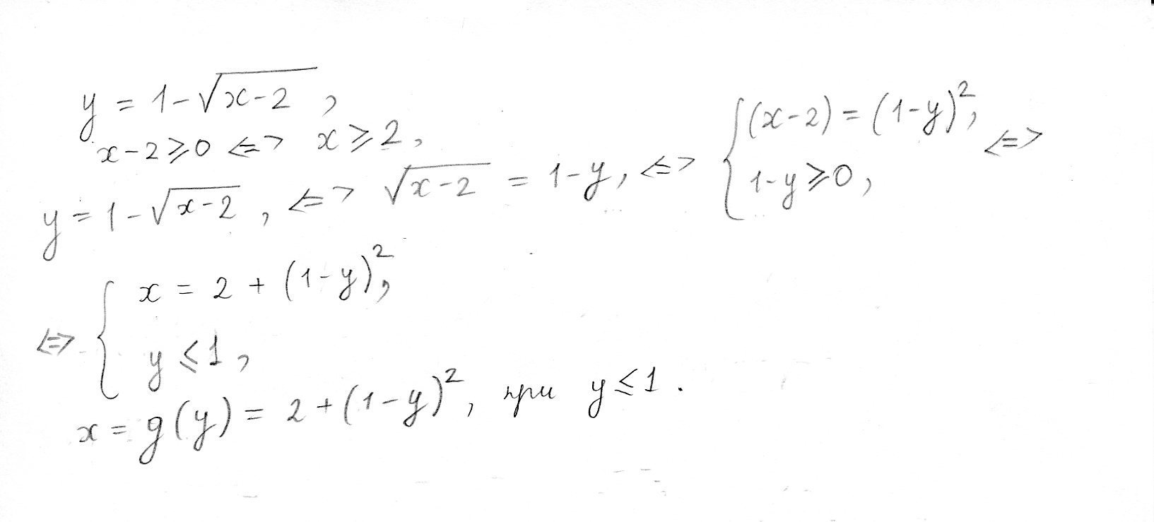
Задайте формулой функцию, обратную даннойy=1- sqrt{x-2} .

Значение x обратной функции должно быть меньше 1, как я понимаю, но не получается выразить

Ответы

Ответ дал: Аноним
0
=======================================>>>>++++
Приложения:
Ответ дал: Неуловимыйтип
0
спасибо, я в квадрате разности поменял местами 1 и х
Ответ дал: Неуловимыйтип
0
поэтому получилось х>=1
Вас заинтересует