• Предмет: Математика
  • Автор: KatyaZenit
  • Вопрос задан 10 лет назад

Помогитеееее люди пожалуйста

Приложения:

Ответы

Ответ дал: kirichekov
0
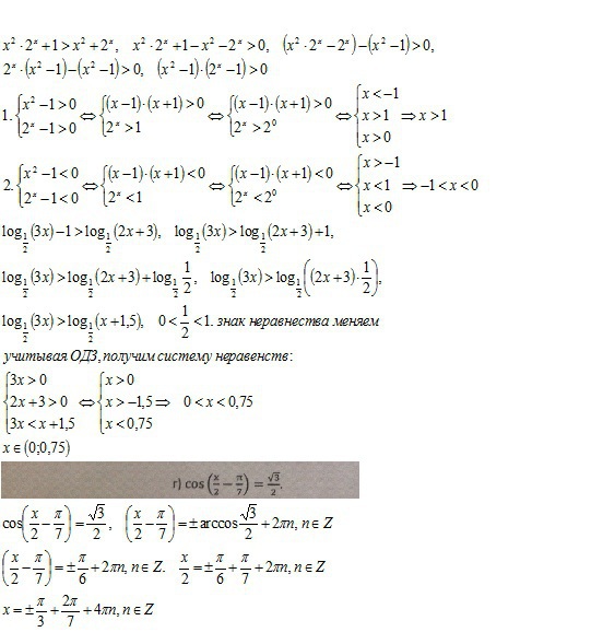
решение во вложении-------------------
Приложения:
Вас заинтересует