Ответы
Ответ дал:
0
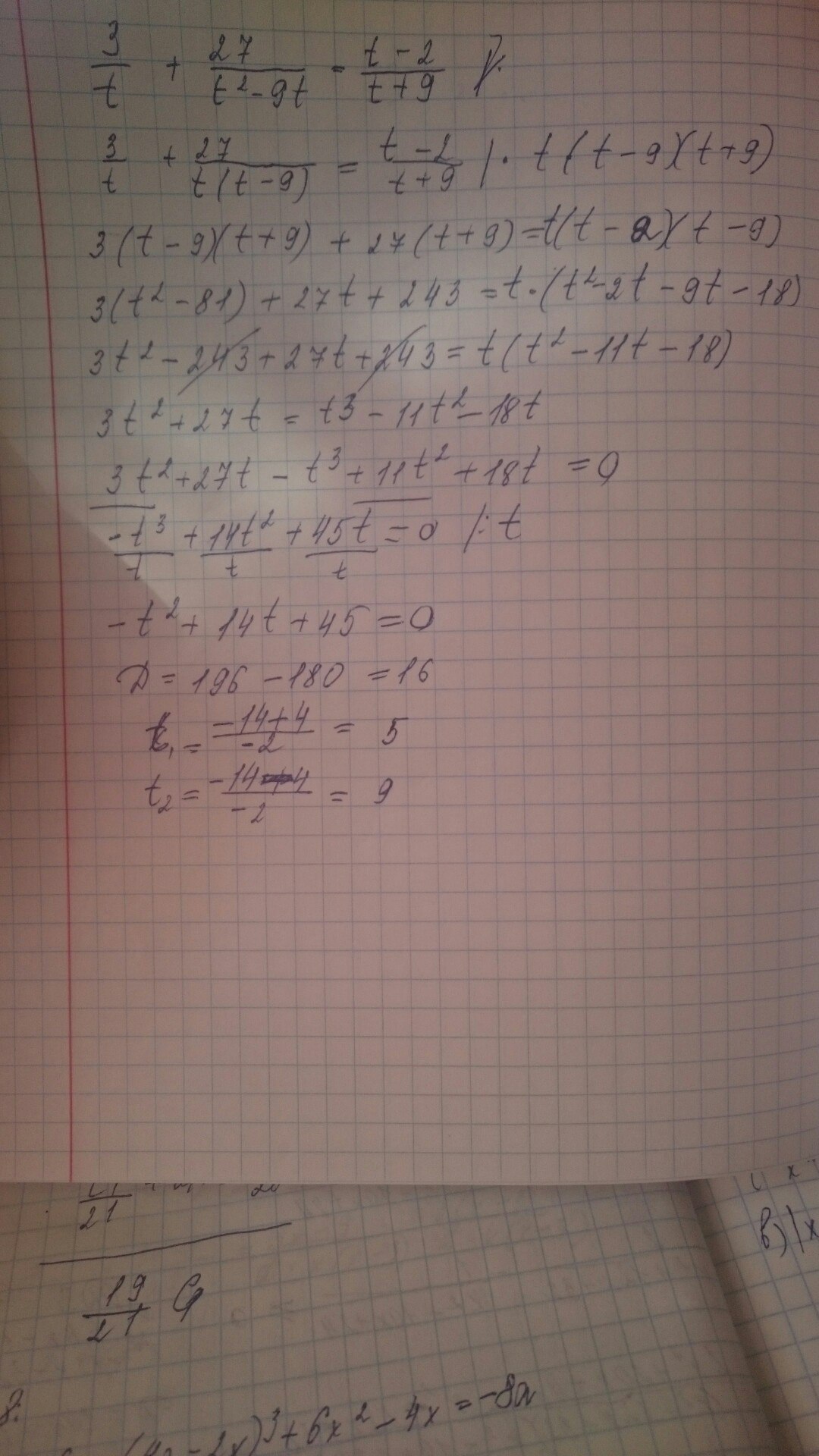
Решение во вложении.
Приложения:

Ответ дал:
0
ну как вы в самом начале от них избавились
Ответ дал:
0
умножила все части уравнения на их знаменатели, а именно на t(t-9)(t+9), они сократились. Что не сократилось, пошло в числитель. Далее раскрытие скобок, приравнивание к нулю, приведение подобных. Остается стандартное квадратное уравнение, решаемое через теорему Виета или через дискриминант.
Ответ дал:
0
ааааа
Ответ дал:
0
понял про скобки :D
Ответ дал:
0
пасиб
Вас заинтересует
2 года назад
7 лет назад
9 лет назад
10 лет назад