• Предмет: Математика
  • Автор: zshedzhem
  • Вопрос задан 9 лет назад

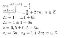
Найдите корень уравнения: cos pi*(2x-1)/3= 1/2.
Пожалуйста, напишите как можно подробнее. Заранее спасибо)

Ответы

Ответ дал: artalex74
0
cos frac{ pi (2x-1)}{3} = frac{1}{2} \ frac{ pi (2x-1)}{3} = pm frac{ pi}{3} + 2 pi n, n in Z\ 2x-1=pm 1 +6n\ 2x=1 pm 1 +6n\ x=0,5 pm 0,5 +3n\ x_1=3n; x_2=1+3n; n in Z.
Приложения:
Ответ дал: zshedzhem
0
Спас меня, спасибо тебе.
Вас заинтересует