Ответы
Ответ дал:
0
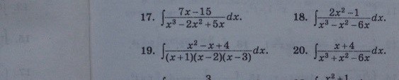
ответ: -3lnx+3/2ln(x^2-2x+5)+2arctg(x-1)/2+C
Приложения:

Вас заинтересует
2 года назад
2 года назад
7 лет назад
7 лет назад
9 лет назад
10 лет назад