• Предмет: Математика
  • Автор: Mike0001
  • Вопрос задан 10 лет назад

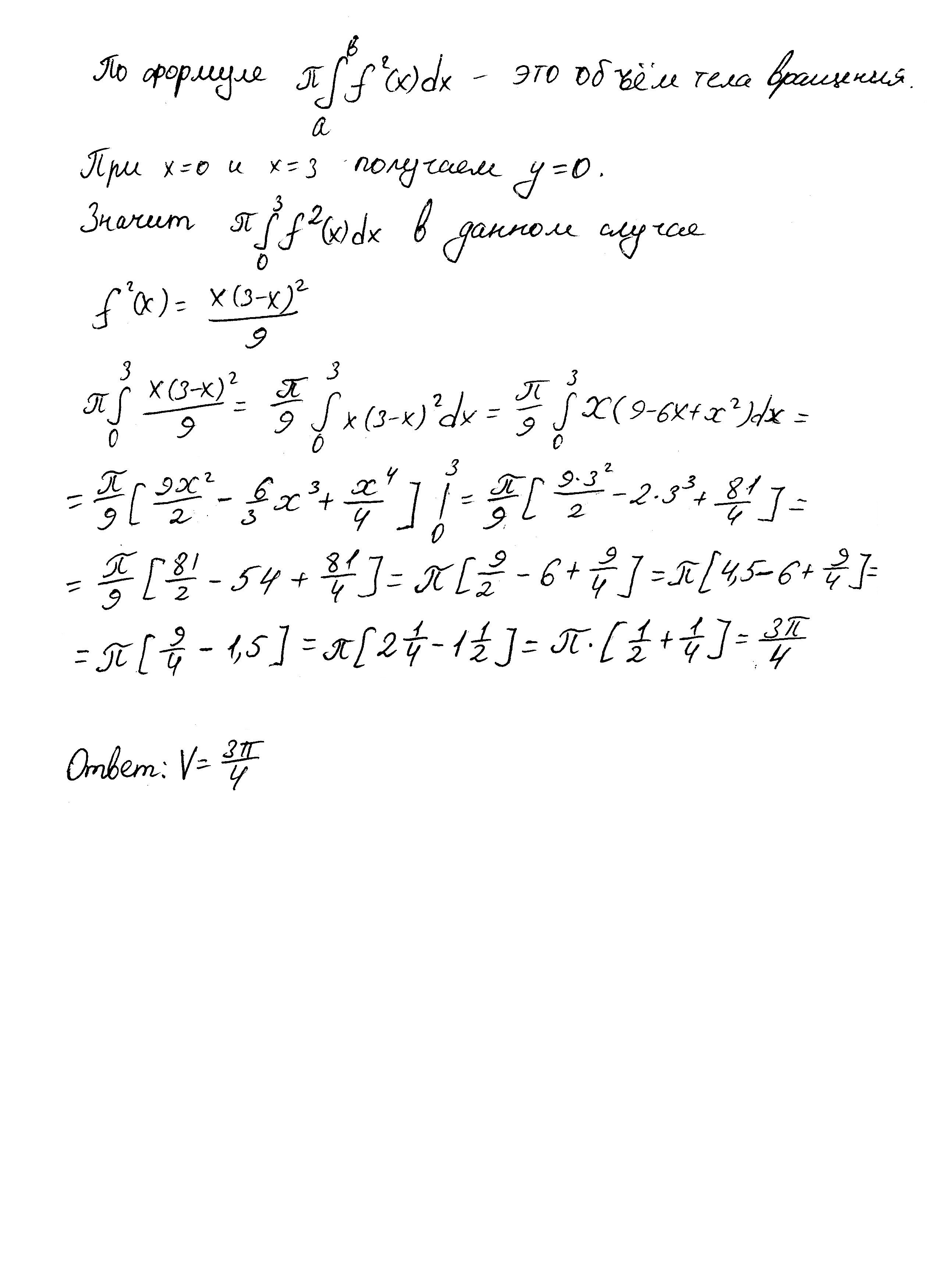
Вычислить объем тела, образованного вращением вокруг оси 0х кривой, заданной уравнением: 9y^2=x(3-x)^2

Ответы

Ответ дал: bearcab
0
Решение в приложении

Ответ: V=frac{3pi}{4}
Приложения:
Ответ дал: Mike0001
0
спасибки
Вас заинтересует