Ответы
Ответ дал:
0
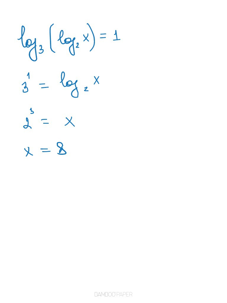
log_2(x)=3¹=3, x=2³=8. Ответ: x=8.
Ответ дал:
0
можно поподробнее
Ответ дал:
0
По-моему, и так вполне подробно. А объяснять материал про логарифмы я. извините, не намерен - на это есть учебники.
Ответ дал:
0
Решение данного уравнения
Приложения:

Вас заинтересует
2 года назад
7 лет назад
7 лет назад
9 лет назад
10 лет назад