Ответы
Ответ дал:
0
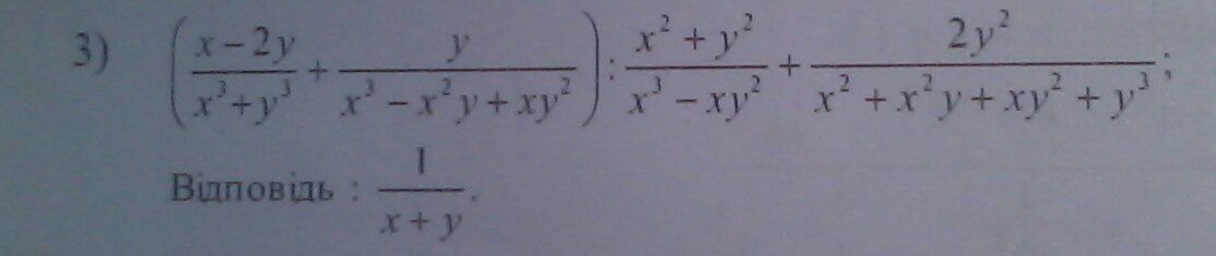
похоже, в знаменателе последней дроби опечатка, первое х должно быть в кубе. Решение написал по действиям, иначе не удобно
Приложения:

Ответ дал:
0
Спасибо)
Ответ дал:
0
пожалуйста
Вас заинтересует
2 года назад
7 лет назад
9 лет назад
9 лет назад