Ответы
Ответ дал:
0
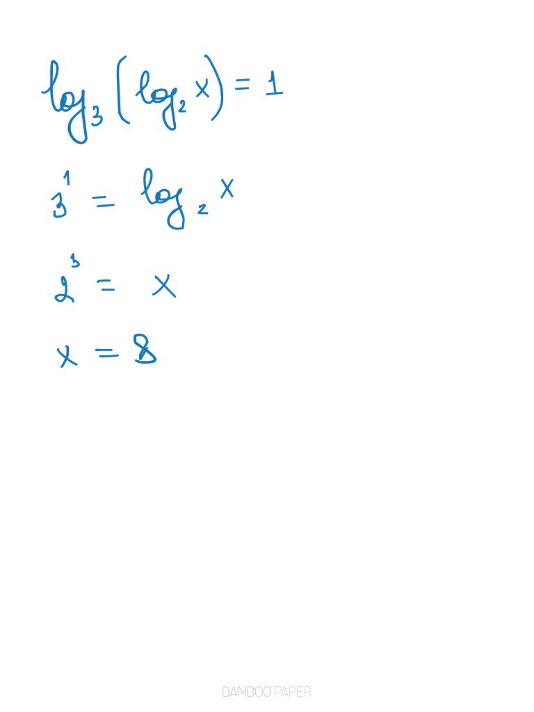
1. возводим в 1 степень основание первого логарифма 3, что равняется степени этого логарифма (log2x)
2. Проделываем то же самое и с оставшимся логарифмом (берем основание 2, возводим его в степень 3 и равняется это х
2. Проделываем то же самое и с оставшимся логарифмом (берем основание 2, возводим его в степень 3 и равняется это х
Приложения:

Вас заинтересует
2 года назад
7 лет назад
7 лет назад
9 лет назад
9 лет назад
10 лет назад