• Предмет: Алгебра
  • Автор: borjmagomedker
  • Вопрос задан 10 лет назад

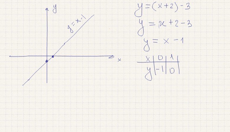
Постройте график функции иопишите его свойства y=(x+2)-3

Ответы

Ответ дал: KseniaHarlequin
0
Решение данного задания
Приложения:
Ответ дал: borjmagomedker
0
Это точно да
Ответ дал: KseniaHarlequin
0
да
Ответ дал: KseniaHarlequin
0
можно еще в пункте "Нули ф-и" написать так: у=0, x=1
Ответ дал: Аноним
0
Нах**й иди со своими нарушения, с**ка.
Ответ дал: KseniaHarlequin
0
За такие ответы банят. Головой думать надо
Вас заинтересует