• Предмет: Алгебра
  • Автор: MaxTex
  • Вопрос задан 9 лет назад

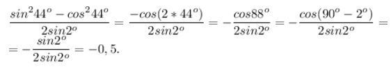
(sin^2 44 - cos^2 44)/2 sin 2 найдите значение выражения

Ответы

Ответ дал: artalex74
0
 dfrac{sin^244^o-cos^244^o}{2sin2^o} = dfrac{-cos(2*44^o)}{2sin2^o} =-dfrac{cos88^o}{2sin2^o} =-dfrac{cos(90^o-2^o)}{2sin2^o} =\ = -dfrac{sin2^o}{2sin2^o} =-0,5.
Приложения:
Вас заинтересует