Народ, объясните пожалуйста, как решить это задание
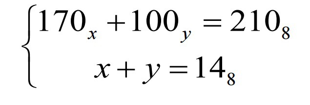
Найдите основания систем исчисления, если известно, что
Приложения:

Ответы
Ответ дал:
0
Переведем число во втором уравнении в десятичную систему счисления:

Значит х+у=12, отсюда х=12-у
Переведем в десятичную систему числа первого уравнения, подставив вместо х=12-у:



Получили уравнение с числами в десятичной системе счисления:



D=961-736=225
y1=16/4=4
y2=46/4=11
x1=12-4=8
x2=12-11=1
Получили два решения (8;4) и (1;11).
Единичная система счисления не позиционная и в записи всех чисел используется как минимум две цифры, поэтому второе решение не принимаем.
Следовательно ответ х=8, у=4.
Значит х+у=12, отсюда х=12-у
Переведем в десятичную систему числа первого уравнения, подставив вместо х=12-у:
Получили уравнение с числами в десятичной системе счисления:
D=961-736=225
y1=16/4=4
y2=46/4=11
x1=12-4=8
x2=12-11=1
Получили два решения (8;4) и (1;11).
Единичная система счисления не позиционная и в записи всех чисел используется как минимум две цифры, поэтому второе решение не принимаем.
Следовательно ответ х=8, у=4.
Ответ дал:
0
Для начала переводим восьмеричные числа в десятичные

Теперь переходим к расширенному представлению чисел по основанию "х", записывая это представление в десятичной системе счисления. Можно было бы также использовать основание "y", но из-за наличия у числа по основанию "у" двух нулей, выражение с заменой этого основания получается проще.

Решаем полученное квадратное уравнение.

Очевидно, что основание 0.5 нам не подходит, как нецелое, следовательно х=8, тогда у=12-8=4.
Ответ:
Теперь переходим к расширенному представлению чисел по основанию "х", записывая это представление в десятичной системе счисления. Можно было бы также использовать основание "y", но из-за наличия у числа по основанию "у" двух нулей, выражение с заменой этого основания получается проще.
Решаем полученное квадратное уравнение.
Очевидно, что основание 0.5 нам не подходит, как нецелое, следовательно х=8, тогда у=12-8=4.
Ответ:
Вас заинтересует
2 года назад
2 года назад
7 лет назад
9 лет назад
9 лет назад
10 лет назад
10 лет назад