• Предмет: Алгебра
  • Автор: Стрілець4000
  • Вопрос задан 10 лет назад

Відомо, що x=2arcsin1/6. Знайти 18√35•sinx.

Ответы

Ответ дал: artalex74
0
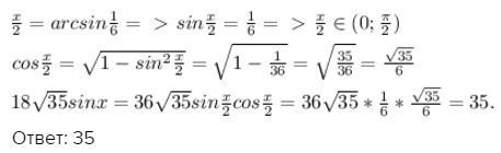
 frac{x}{2} =arcsin frac{1}{6} = textgreater   sinfrac{x}{2} = frac{1}{6} = textgreater   frac{x}{2}  in (0; frac{ pi }{2} )
cos frac{x }{2} =sqrt{1-sin^2frac{x}{2} }=sqrt{1-frac{1}{36} }=sqrt{frac{35}{36} }=frac{ sqrt{35} }{6}
18 sqrt{35} sinx=36 sqrt{35} sin frac{x}{2} cos frac{x}{2} =36 sqrt{35} * frac{1}{6} *frac{ sqrt{35} }{6} =35.
Ответ: 35
Приложения:
Вас заинтересует