• Предмет: Алгебра
  • Автор: maks641
  • Вопрос задан 10 лет назад

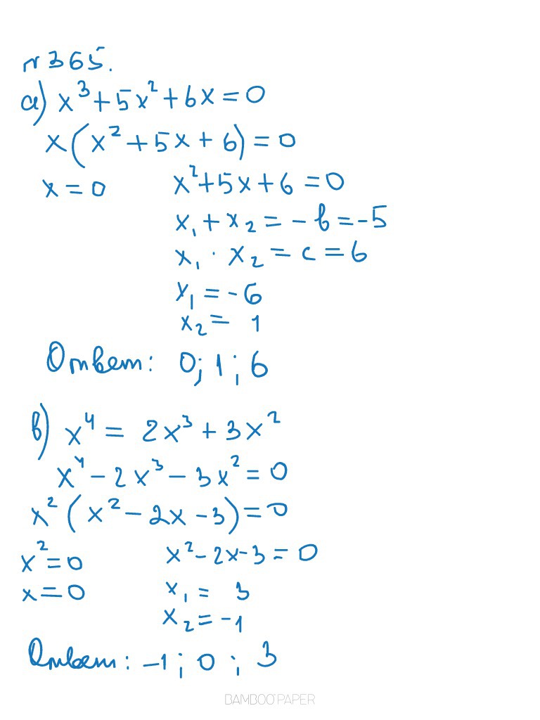
4 Уравнений
№365 (1 столб.)

Приложения:

Ответы

Ответ дал: KseniaHarlequin
0
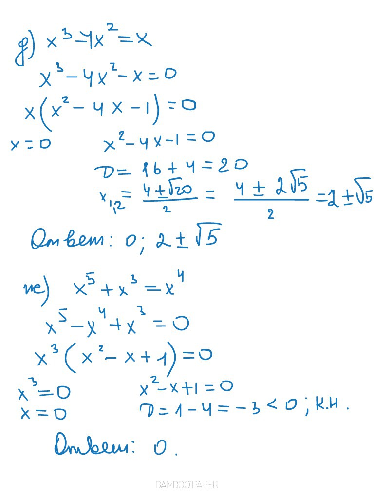
Решение данных уравнений
Приложения:
Вас заинтересует