• Предмет: Алгебра
  • Автор: jdncjnvf
  • Вопрос задан 9 лет назад

Помогите решить пример, ответ должен получиться 1. Но непонятно как :( Помогите разобраться с решением.
(√8-√2)/(√2) =?

Ответы

Ответ дал: artalex74
0
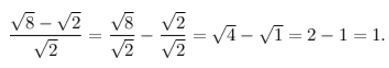
 dfrac{sqrt8-sqrt2}{sqrt2} = dfrac{sqrt8}{sqrt2} - dfrac{sqrt2}{sqrt2} =sqrt4-sqrt1=2-1=1.
Приложения:
Ответ дал: artalex74
0
на здоровье! еще к сведению, на всякий, из нуля тоже корень извлекается )))
Ответ дал: jdncjnvf
0
и будет 0?)))
Ответ дал: artalex74
0
да
Ответ дал: jdncjnvf
0
спасибо за ответ)
Ответ дал: artalex74
0
удачи!
Ответ дал: paramert
0
решение на фото _____________
Приложения:
Ответ дал: jdncjnvf
0
спасибо за ответ, прокомментируйте пожалуйста, чтобы мне стало понятнее, а откуда вы взяли еще корень из 2 и умножили в числитель и знаменатель?)))
Ответ дал: artalex74
0
я хоть и не автор, но подскажу - это стандартный способ избавиться от корня в знаменателе )))
Ответ дал: jdncjnvf
0
и можно сколько угодно приписывать этот корень из 2 если понадобится?
Ответ дал: artalex74
0
чаще всего, в таких простых ситуациях числитель и знаменатель дроби умножается на корень только 1 раз. но бывают и более сложные случаи...
Вас заинтересует