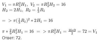
Найдите объем первого цилиндра, если его высота в два раза меньше, а радиус основания в три раза больше, чем у второго цилиндра, причем объем второго цилиндра равен 16.
Ответы
Ответ дал:
0
Ответ: 72.
Приложения:

Вас заинтересует
2 года назад
2 года назад
7 лет назад
7 лет назад
9 лет назад