• Предмет: Алгебра
  • Автор: sambadeff
  • Вопрос задан 10 лет назад

вычислите повторный интеграл! решите подробно пожалуйста!

Приложения:

Ответы

Ответ дал: artalex74
0
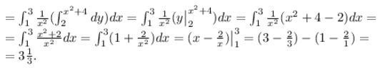
= int _1^3 frac{1}{x^2} (int_{2}^{x^2+4}dy)dx= int _1^3 frac{1}{x^2} (y big|_{2}^{x^2+4})dx= int _1^3 frac{1}{x^2} (x^2+4-2)dx=\ =  int _1^3 frac{x^2+2}{x^2} dx=int _1^3 (1+frac{2}{x^2}) dx= (x- frac{2}{x}) big|_1^3= 
(3- frac{2}{3})-(1- frac{2}{1})= \ =3 frac{1}{3} .
Приложения:
Ответ дал: mathformula
0
если что не понятно в решении, спрашивайте. 
Так как верхний предел второго вложенного интеграла зависит от икса ( x^{2}  +4), то порядок интегрирования важен и нужно брать со второго интеграла. Во вложении решение прилагается. 
Приложения:
Вас заинтересует