• Предмет: Алгебра
  • Автор: Аноним
  • Вопрос задан 10 лет назад

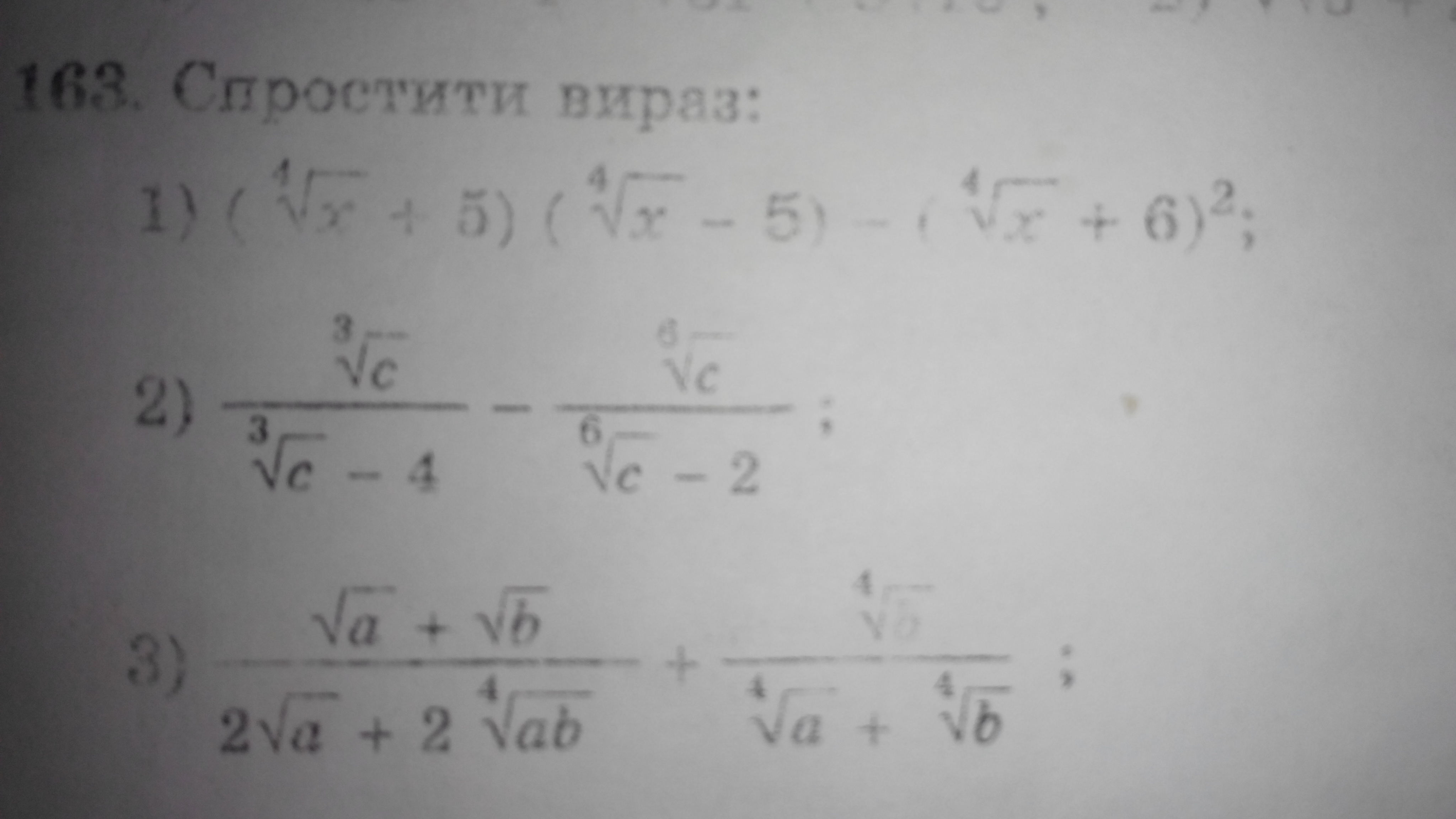
упростите выражение 2 и 3
очень нужно

Приложения:

Ответы

Ответ дал: artalex74
0
2) 3AMEHA:  sqrt[6]{c} =m
 frac{m^2}{m^2-4} - frac{m}{m-2} = frac{m^2}{(m-2)(m+2)} - frac{m}{m-2} = frac{m^2-m(m-2)}{(m-2)(m+2)} = frac{m^2-m^2+2m}{m^2-4} = \ =  frac{2m}{m^2-4} =[m= sqrt[6]{c}] = frac{2sqrt[6]{c}}{sqrt[3]{c}-4} .

3) 3AMEHA: sqrt[4]{a} =x; sqrt[4]{b} =y
 frac{x^2+y^2}{2x^2+2xy} + frac{y}{x+y} =  frac{x^2+y^2}{2x(x+y)} + frac{y}{x+y} = frac{x^2+y^2+2xy}{2x(x+y)} = frac{(x+y)^2}{2x(x+y)} = frac{x+y}{2x} = \ = [x= sqrt[4]{a} ; y= sqrt[4]{b}] =  frac{sqrt[4]{a}+sqrt[4]{b}}{2sqrt[4]{a}}
Ответ дал: Аноним
0
Спасибо,а можно еще 3?
Вас заинтересует