• Предмет: Алгебра
  • Автор: yurmalnikroman
  • Вопрос задан 10 лет назад

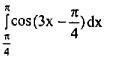
пожалуйста Вычислите:↓☻

Приложения:

Ответы

Ответ дал: sedinalana
0
1/3*sin(3x-π/4)|π-π/4=1/3*sin(3π-π/4)-1/3*sin(-3π/4-π/4)=
=1/3*sinπ/4+1/3*sinπ=1/3*√2/2+1/3*0=√2/6
Вас заинтересует