• Предмет: Математика
  • Автор: Nelsik
  • Вопрос задан 10 лет назад

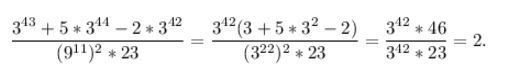
3^43 +5*3^44 -2*3^42 :((9^11)^2 *23)

Ответы

Ответ дал: artalex74
0
dfrac{3^{43} +5*3^{44} -2*3^{42}}{(9^{11})^2 *23}=dfrac{3^{42}(3 +5*3^{2} -2)}{(3^{22})^2 *23}= dfrac{3^{42}*46}{3^{42} *23}=2.
Приложения:
Вас заинтересует