• Предмет: Математика
  • Автор: gimmbo
  • Вопрос задан 10 лет назад

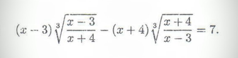
Помогите решить уравнение

Приложения:

Ответы

Ответ дал: NNNLLL54
0
(x-3) sqrt[3]{ frac{x-3}{x+4} } -(x+4) sqrt[3]{ frac{x+4}{x-3} } =7; ,; ODZ:; xne -4,; xne 3\\\t^3= frac{x-3}{x+4} ; ,; x-3=xt^3+4t^3; ,; x-xt^3=4t^3+3; ,\\ x(1-t^3)=4t^3+3; ,; ; x= frac{4t^3+3}{1-t^3} \\x-3= frac{4t^3+3}{1-t^3} -3== frac{4t^3-3-3+3t^3}{1-t^3} = frac{7t^3}{1-t^3} ; ;\\x+4= frac{4t^3+3}{1-t^3} +4= frac{4t^3+3+4-4t^3}{1-t^3} = frac{7}{1-t^3} ; ;\\\ frac{7t^3}{1-t^3} cdot t- frac{7}{1-t^3} cdot t=7\\ frac{7t^4-7t}{1-t^3}-7=0

 frac{7t^4-7t-7+7t^3}{1-t^3} =0\\ frac{7(t^4+t^3-t-1)}{1-t^3} =0; ; Rightarrow ; ;  left { {{t^4+t^3-t-1=0} atop {t^3ne 1}} right. ;  left { {{t^3(t+1)-(t+1)=0} atop {tne 1}} right. \\ left { {{(t+1)(t^3-1)=0} atop {tne 1}} right. ;  left { {{(t+1)(t-1)(t^2+t+1)=0} atop {tne 1}} right. ;  left { {{t_1=-1,; t_2=1} atop {tne 1}} right. ; Rightarrow ;  ; t=-1\\t=-1; ; to ; ; t^3=-1; ; to ; ;  frac{x-3}{x+4} =-1\\ frac{x-3}{x+4} +1=0

 frac{x-3+x+4}{x+4} =0\\ frac{2x+1}{x+4} =0\\2x+1=0; ,; xne -4\\x=-frac{1}{2}\\Otvet:; ; -frac{1}{2}; .
Вас заинтересует