Ответы
Ответ дал:
0
4 решите сами, я там не пойму какая степень
Приложения:

Ответ дал:
0
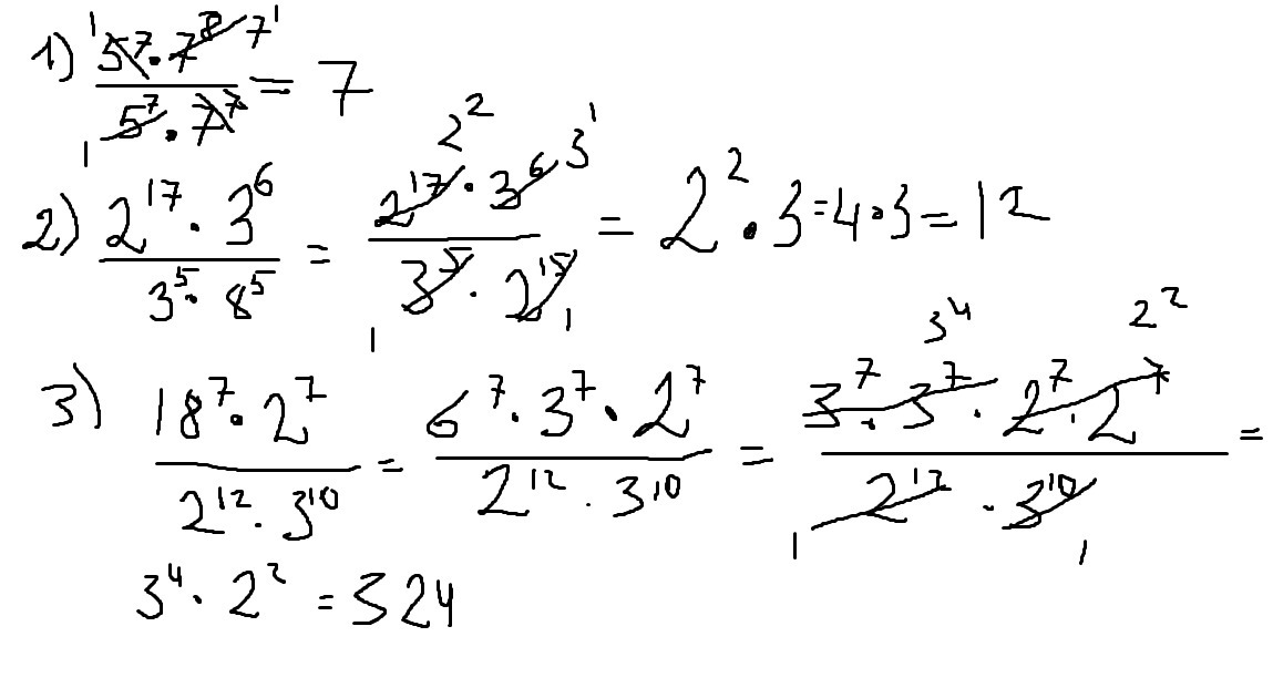
1)5⁷ x 7⁸ 5⁷ x 7⁸
______ = ______ = 7¹ = 7.
35⁷ 5⁷ x 7⁷
2)
2¹⁷ x 3⁶ 2¹⁷ x 3⁶ 2¹² x 3¹ 2¹² x 3 2¹² x 3
_____ = _________ = _______ = ______ = ______ = 2² x 3 = 4 x 3 = 12.
24⁵ 2⁵ x 3⁵ x 4⁵ 4⁵ (2²)⁵ 2¹⁰
3) 36⁷ 2⁷ x 3⁷ x 6⁷ 6⁷ 2⁷ x 3⁷
_______ = _________ = _______ = ______ = 2² x 3⁴ = 4 x 81 = 324.
2¹² x 3¹⁰ 2¹² x 3¹⁰ 2⁵ x 3³ 2⁵ x 3³
в четвёртом степеней не видно.
______ = ______ = 7¹ = 7.
35⁷ 5⁷ x 7⁷
2)
2¹⁷ x 3⁶ 2¹⁷ x 3⁶ 2¹² x 3¹ 2¹² x 3 2¹² x 3
_____ = _________ = _______ = ______ = ______ = 2² x 3 = 4 x 3 = 12.
24⁵ 2⁵ x 3⁵ x 4⁵ 4⁵ (2²)⁵ 2¹⁰
3) 36⁷ 2⁷ x 3⁷ x 6⁷ 6⁷ 2⁷ x 3⁷
_______ = _________ = _______ = ______ = 2² x 3⁴ = 4 x 81 = 324.
2¹² x 3¹⁰ 2¹² x 3¹⁰ 2⁵ x 3³ 2⁵ x 3³
в четвёртом степеней не видно.
Приложения:

Вас заинтересует
2 года назад
7 лет назад
9 лет назад
9 лет назад