Ответы
Ответ дал:
0
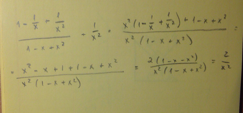
Правильный ответ третий, решение на картинке)
Приложения:

Ответ дал:
0
Я не выносила за скобку, я приводила к общему знаменателю
Ответ дал:
0
3) как вы вынесли за скобку 2 если не было тама у всех 2?
Ответ дал:
0
Если умножить x^2 на 1 / x^2 получится 1
Ответ дал:
0
И если сложить x^2 - x + 1 + 1 - x + x^2 то выйдет 2 * x^2 - 2x + 2 то есть 2 * (x^2 - x + 1)
Ответ дал:
0
огромное вот огромное спасибо )
Вас заинтересует
2 года назад
2 года назад
7 лет назад
7 лет назад
9 лет назад
9 лет назад