• Предмет: Математика
  • Автор: bearf2003
  • Вопрос задан 10 лет назад

2/3
------------- -2/3=2/3
2/3х-2/3

Ответы

Ответ дал: KseniaHarlequin
0
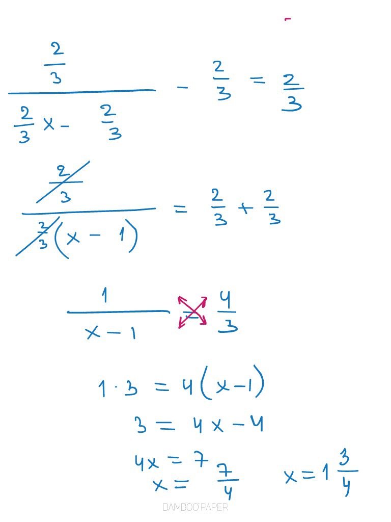
Решение данного уравнения
Приложения:
Ответ дал: aleksb1
0
 frac{ frac{2}{3} }{ frac{2}{3}x- frac{2}{3}} - frac{2}{3}=  frac{2}{3} \  \ frac{ frac{2}{3} }{ frac{2}{3}x- frac{2}{3}} =  frac{2}{3}+ frac{2}{3} \  \ frac{ frac{2}{3} }{ frac{2}{3}x- frac{2}{3}} =  frac{4}{3} \  \  frac{2}{3}x- frac{2}{3}= frac{2}{3}:frac{4}{3} \  \ frac{2}{3}x- frac{2}{3}= frac{2}{3}*frac{3}{4} \  \ frac{2}{3}x- frac{2}{3}= frac{2}{4} \  \

frac{2}{3}x= frac{2}{4} + frac{2}{3}\  \ frac{2}{3}x= frac{2*3}{4*3} + frac{2*4}{3*4} \  \ frac{2}{3}x= frac{6}{12} + frac{8}{12} \  \  frac{2}{3}x= frac{14}{12} \  \ x=frac{14}{12}:frac{2}{3} \  \ x=frac{14}{12}*frac{3}{2} \  \ x=frac{14:2}{12:3}*frac{3:3}{2:2} \  \ x=frac{7}{4}*frac{1}{1} \  \ x=1frac{3}{4} \  \ x=1,75
Приложения:
Вас заинтересует