• Предмет: Алгебра
  • Автор: MontyBlack
  • Вопрос задан 10 лет назад

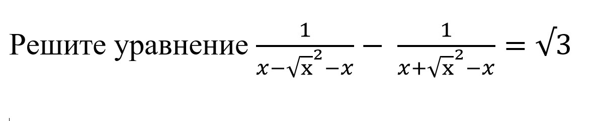
Решите уравнение (картинка задания в описании)

Приложения:

Ответы

Ответ дал: гюйс
0
1/ (-|х)^2 - 1/(|х)^2=|3
1/(-х) - 1/х=|3
- 2/х=|3
х= - 2/(|3)
Ответ дал: гюйс
0
| - это корень
Ответ дал: гюйс
0
| - это корень
Ответ дал: nafanya2014
0
 frac{1}{x- sqrt{x^2-x} } - frac{1}{x+sqrt{x^2-x} } = sqrt{3}  \  \  frac{(x+sqrt{x^2-x} )-(x-sqrt{x^2-x} )}{(x- sqrt{x^2-x} )(x+sqrt{x^2-x} )}  = sqrt{3} \ \  frac{2sqrt{x^2-x} }{(x- sqrt{x^2-x} )(x+sqrt{x^2-x} )}  = sqrt{3} \  \ frac{2sqrt{x^2-x} }{(x)^2- (sqrt{x^2-x} )^2}  = sqrt{3}  \  \ frac{2sqrt{x^2-x} }{x^2- (x^2-x )}  = sqrt{3}  \  \ frac{2sqrt{x^2-x} }{x}  = sqrt{3}   \  \ 2 sqrt{x^2-x}= sqrt{3}x

Возводим в квадрат
4(х²-х)=3х²
4х²-4х-3х²=0
х²-4х=0
х(х-4)=0
х=0    или  х=4

Проверка.
х=0  не является корнем уравнения, так как при х=0 знаменатели каждой дроби равны 0 и дробь не имеет смысла.
при х=4
1/(4-√12)=(4+√12)/4=√3/2
1/(4+√12)=(4-√12)/4=-√3/2
1/(4-√12)  -   1/(4+√12)=√3/2-(-√3/2)=√3
√3=√3 - верно
О т в е т. х=4 - корень уравнения
Вас заинтересует