• Предмет: Математика
  • Автор: владавладок
  • Вопрос задан 11 лет назад

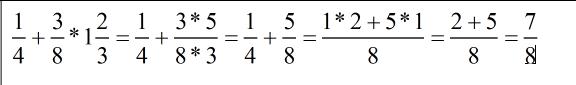
14+38*1.23=? и решение можно

Ответы

Ответ дал: triolana
0

================================================================

Приложения:
Вас заинтересует