Ответы
Ответ дал:
0
Приложения:

Ответ дал:
0
Так ничего не понятно. можно с ФОТКОЙ?
Ответ дал:
0
а можете пожалуйста объяснить вторую скобку ?
Ответ дал:
0
Приводим к общему знаменателю
Ответ дал:
0
Можно пожалуйста с фоткой
Ответ дал:
0
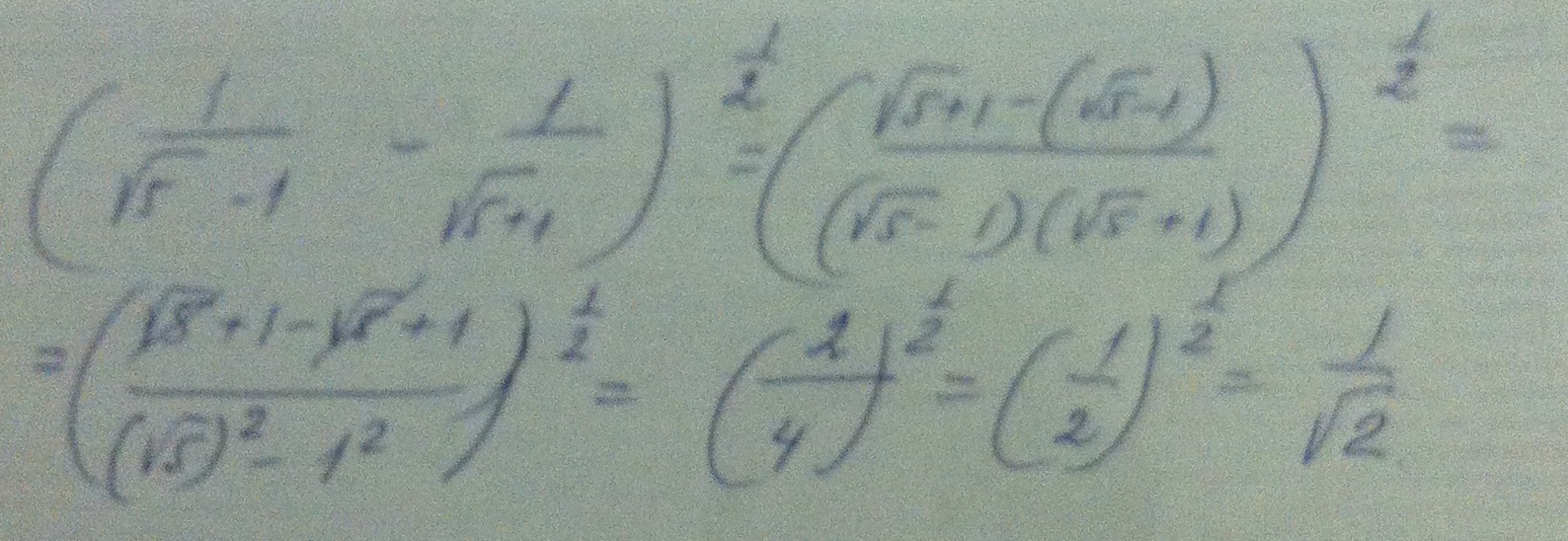
Я же приложила фото
Вас заинтересует
2 года назад
2 года назад
7 лет назад
7 лет назад
9 лет назад