Ответы
Ответ дал:
0
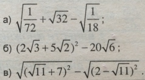
а)
1/√72 + √32 - 1/√18=
=1/√(36 *2) + √(16*2) - 1/√(9*2) =
=1/(6*√2) + 4√2 -1/(3*√2)= ( 1/√2 =√2 / 2 )
=√2( 1/12+ 4 -1/6) =
=√2 *(4-1/12) =√2 *( 3+ 11/12) = (3 11/12) *√2
б)
=4*3+20√6+25*2 -20√6= 12+50 = 62
в)
=√11 +7-2+√11 = 5+2√11
1/√72 + √32 - 1/√18=
=1/√(36 *2) + √(16*2) - 1/√(9*2) =
=1/(6*√2) + 4√2 -1/(3*√2)= ( 1/√2 =√2 / 2 )
=√2( 1/12+ 4 -1/6) =
=√2 *(4-1/12) =√2 *( 3+ 11/12) = (3 11/12) *√2
б)
=4*3+20√6+25*2 -20√6= 12+50 = 62
в)
=√11 +7-2+√11 = 5+2√11
Ответ дал:
0
Спасибо большое за помощь!
Ответ дал:
0
в последнем пункте(√(a-b))² = |a - b|
Ответ дал:
0
Решение в приложении.
Приложения:

Ответ дал:
0
Спасибо Вам огромное за помощь!
Ответ дал:
0
Пожалуйста
Вас заинтересует
2 года назад
2 года назад
7 лет назад
9 лет назад
9 лет назад
10 лет назад
10 лет назад