Ответы
Ответ дал:
0
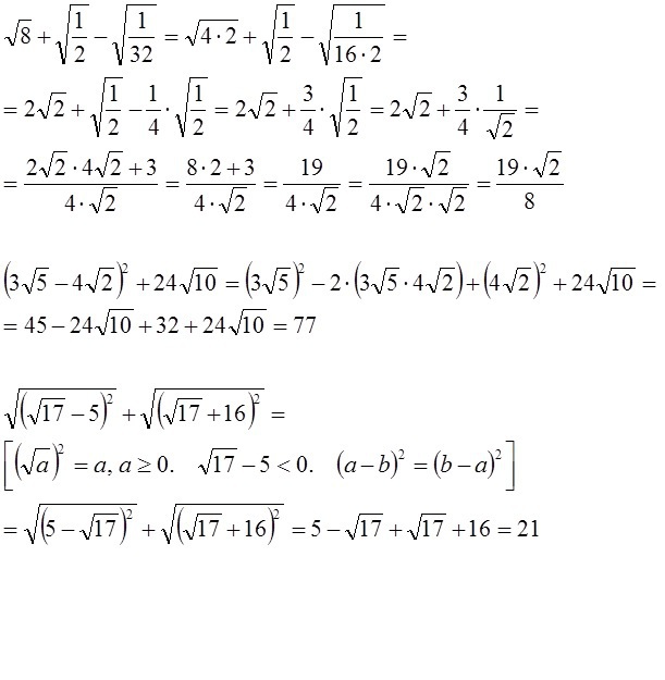
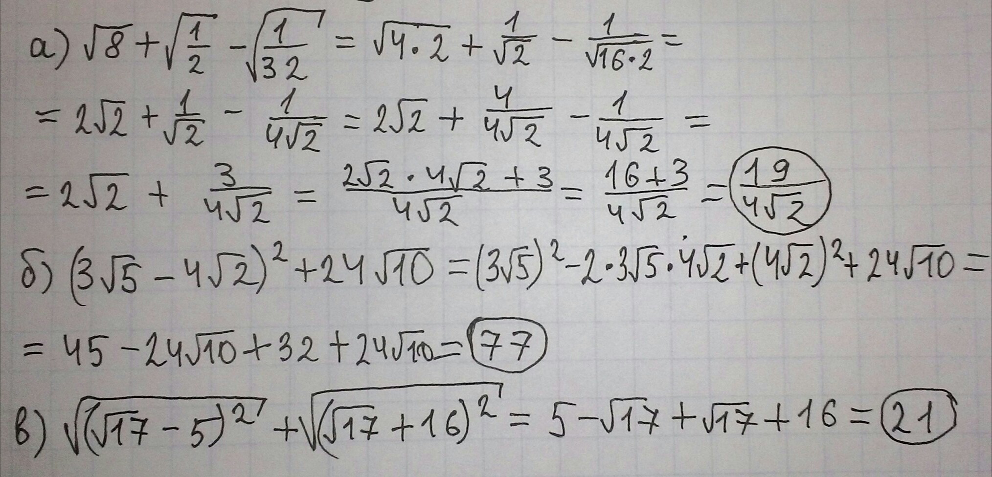
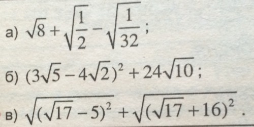
решение во вложении-------------------
Приложения:

Ответ дал:
0
В последнем пункте десяток потеряли)
Ответ дал:
0
И четверку в знаменатель в первом пункте
Ответ дал:
0
8 минут назад уже все исправила
Ответ дал:
0
Извините, не заметил
Ответ дал:
0
Решение в приложении.
Приложения:

Вас заинтересует
2 года назад
2 года назад
7 лет назад
9 лет назад
10 лет назад