• Предмет: Алгебра
  • Автор: art123арт
  • Вопрос задан 9 лет назад

50 баллов!!! Помогите решить и поподробней! И ещё, если можно то напишите какие свойства используются в этом уравнения.

Приложения:

Ответы

Ответ дал: Ртуть3
0
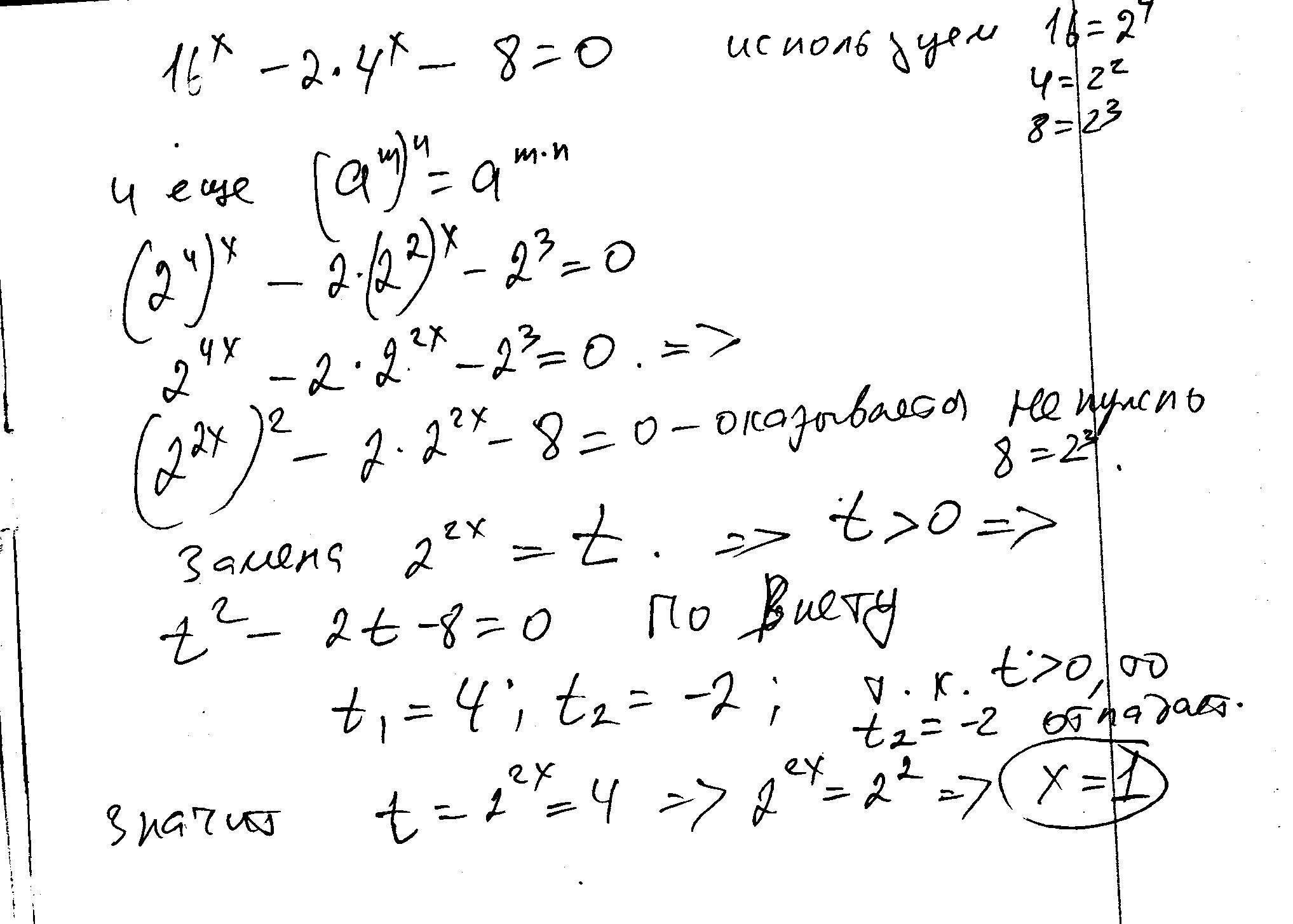
Вроде,так...........
Приложения:
Ответ дал: Ртуть3
0
Благодарю
Ответ дал: ужнеужели
0
Да нет же, это я Вас благодарю. И все равно - спасибо.
Ответ дал: ужнеужели
0
Вы весь какой-то секретный. Не могу попасть на Ваш профиль.
Ответ дал: Ртуть3
0
Вроде,никакой секретности,все открыто
Ответ дал: ужнеужели
0
Значит я что-то делаю не так.
Ответ дал: ужнеужели
0
решение в скане..........
Приложения:
Вас заинтересует