• Предмет: Математика
  • Автор: аку2
  • Вопрос задан 10 лет назад

срочно помогите с 2 номерами пожалуйста

Приложения:

Ответы

Ответ дал: ЕленаСкворцова
0
АОВ=180-вос
АОВ=180-28
АОВ=152

Приложения:
Ответ дал: willy56
0
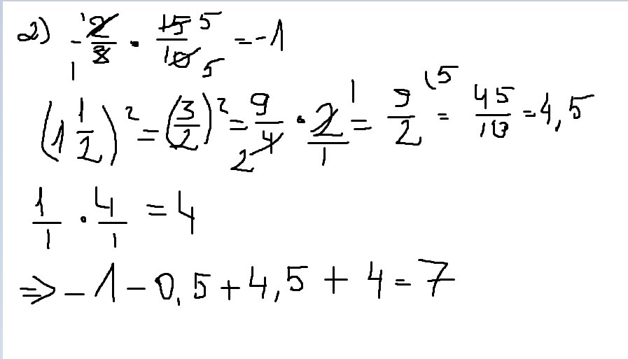
Все 3 задания столбика 15. 


Приложения:
Вас заинтересует